Martes, 13 de enero 2026, 00:16
Comenta
La feroz represión de las protestas en Irán está siendo responsabilidad de uno de los ejércitos más sectarios y a la vez más preparados del Lejano Oriente: el Cuerpo de la Guardia Revolucionaria Islámica (IRGC) por sus siglas en inglés o Pasdaran, en persa. Esta unidad es la encargada de la represión interna de un régimen teocrático que desde que la revolución islamista triunfó en 1979 ha tenido que protegerse de enemigos exteriores. Se ha encargado de mantener la ortodoxia, y de entrenar y eliminar cualquier tipo de oposición de la forma más violenta.
Su poder es tal que muchos de los disidentes que estos días están apareciendo en redes sociales no arremeten contra los ayatolás, sino que directamente piden el fin de la Guardia Revolucionaria. Desde su punto de vista, más cercano a la realidad, es este cuerpo el que realmente sostiene la dictadura en Irán y sin él, el régimen instaurado por Jomeini hace casi medio siglo se derrumbaría.
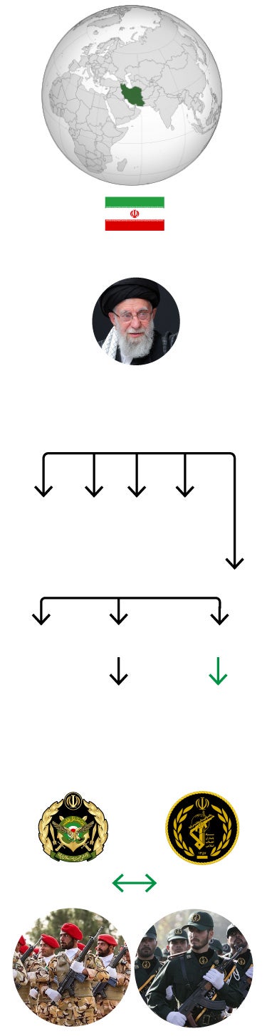
REPÚBLICA ISLÁMICA PRESIDENCIAL TEOCRÁTICA
Líder supremo
Gran ayatolá Sayed
Ali Jamenei
(1989-)
Presidente
Masoud Pezeshkian
(2024-)
Consejo de Guardianes
Parlamento
Fuerzas armadas
Ejército
(Artesh)
Guardia Revolucionaria
Policía de la Moral
La Guardia Revolucionaria es una organización separada y paralela al otro brazo más tradicional del ejército de Irán (Artesh)
Guardia Revolucionaria
Ejército
(Artesh)
REPÚBLICA ISLÁMICA PRESIDENCIAL TEOCRÁTICA
Líder supremo
Gran ayatolá Sayed
Ali Jamenei
(1989-)
Presidente
Masoud Pezeshkian
(2024-)
Consejo de Guardianes
Parlamento
Fuerzas armadas
Ejército
(Artesh)
Guardia Revolucionaria
Policía de la Moral
La Guardia Revolucionaria es una organización separada y paralela al otro brazo más tradicional del ejército de Irán (Artesh)
Guardia Revolucionaria
Ejército
(Artesh)
REPÚBLICA ISLÁMICA PRESIDENCIAL TEOCRÁTICA
Líder supremo
Gran ayatolá Sayed
Ali Jamenei
(1989-)
Presidente
Masoud Pezeshkian
(2024-)
Parlamento
Consejo de Guardianes
Fuerzas armadas
Ejército
(Artesh)
Guardia Revolucionaria
Policía de la Moral
La Guardia Revolucionaria es una organización separada y paralela al otro brazo más tradicional del ejército de Irán (Artesh)
Guardia Revolucionaria
Ejército
(Artesh)
REPÚBLICA ISLÁMICA PRESIDENCIAL TEOCRÁTICA
Líder supremo
Gran ayatolá Sayed
Ali Jamenei
(1989-)
Presidente
Masoud Pezeshkian
(2024-)
Parlamento
Consejo de Guardianes
Fuerzas armadas
Ejército
(Artesh)
Guardia Revolucionaria
Policía de la Moral
La Guardia Revolucionaria es una organización separada y paralela al otro brazo más tradicional del ejército de Irán (Artesh)
Guardia Revolucionaria
Ejército
(Artesh)
-
Cuándo se creó
La Guardia Revolucionaria se creó en 1979, muy poco tiempo después de que la revolución islámica dirigida por los ayatolás consiguiera derrocar al sha Reza Palevi. Si este ejército privado en manos de los clérigos islamistas consiguió triunfar fue por dos motivos: el miedo al Ejército tradicional de los revolucionarios, ya que había sido creado por el Sha, y la guerra entre Irak e Irán que tuvo lugar entre 1980 y 1988.
Hay dos detalles que reflejan en qué se estaba convirtiendo la Guardia Revolucionaria. Dentro de Irán, una de sus misiones fue perseguir a las mujeres que vestían a la occidental. Cualquier vestigio de la libertad que en la época del Sha se había dado a la parte femenina de la sociedad fue exterminado. El velo se impuso por la fuerza y las mujeres comenzaron a sufrir la represión bestial de estos agentes. Amnistía Internacional ha elaborado varios informes en los últimos años sobre la barbarie desatada por este cuerpo y otros similares contra aquellas que se niegan a llevar el velo. En esos documentos se habla de mujeres tiroteadas por conducir un vehículo o torturas a jóvenes de 14 años por no llevar hiyab.
En el orden militar, Irán comenzó a utilizar niños para que avanzasen en el frente de guerra y se inmolasen al pisar los campos de minas. De esta manera, los menores fallecían al pisar los explosivos y con su muerte abrían corredores para que la Guardia Revolucionaria pudiera avanzar.
Miembros del IRGC protegiendo a Jomeini en Qom, Irán (1979)
Fuente: New York Times
-
Cuestionamiento interno
El poder de la Guardia Revolucionaria no es solo militar. Los dirigentes del régimen iraní proceden de sus filas -el expresidente Mahmud Ahmadineyad, por ejemplo, fue un cargo de esta unidad-, lo que les garantiza un control de la administración. Pero, sobre todo, este cuerpo represivo ha ido acumulando un poder económico sin presidentes. Empresas de construcción y firmas petrolíferas pertenecen a la Guardia Revolucionaria. Esta capacidad les garantiza un poder social sin igual, por encima de cualquier otra milicia de los países de la zona.
Todo ese poder acumulado en este cuerpo de seguridad ha alarmado incluso a las filas reformistas dentro de la teocracia iraní. Estos sectores han fracasado siempre que han intentado despolitizar la Guardia Revolucionaria y que se aleje de las funciones de control social.
Miembros de la Guardia Revolucionaria en un acto en Teherán.
EFE
-
Cuestionamiento interno
El poder de la Guardia Revolucionaria no es solo militar. Los dirigentes del régimen iraní proceden de sus filas -el expresidente Mahmud Ahmadineyad, por ejemplo, fue un cargo de esta unidad-, lo que les garantiza un control de la administración. Pero, sobre todo, este cuerpo represivo ha ido acumulando un poder económico sin presidentes. Empresas de construcción y firmas petrolíferas pertenecen a la Guardia Revolucionaria. Esta capacidad les garantiza un poder social sin igual, por encima de cualquier otra milicia de los países de la zona.
Todo ese poder acumulado en este cuerpo de seguridad ha alarmado incluso a las filas reformistas dentro de la teocracia iraní. Estos sectores han fracasado siempre que han intentado despolitizar la Guardia Revolucionaria y que se aleje de las funciones de control social.
Sepâh-e Pâsdârân-e Enghelâb-e Eslâmi (persa)
Cuerpo de la Guardia Revolucionaria Islámica (IRGC)
Bandera oficial del Cuerpo de la Guardia Revolucionaria Islámica (IRGC)
“Prepárate contra ellos con todas las fuerzas que puedas”
Esmail Ghaani
Mayor general de los Cuerpos de la Guardia Revolucionaria Islámica y comandante de la Fuerza Quds
Tropas terrestres
Fuerza aeroespacial
Cuerpo Ansar-ul-Mahdi
Protección de funcionarios
BASIJ
Fuerza paramilitar
FUERZA QUDS
operaciones especiales
Tropas terrestres
Mohammad Pakpour
Responsable de la seguridad interna y fronteriza y la aplicación de la ley islámica.
20 divisiones de infantería y brigadas aerotransportadas
Fuerza aeroespacial
Amir Ali Hajizadeh
Control del programa nuclear y programa de misiles iraní
Armada
Alireza Tangsiri
Una poderosa flota, compuesta por cien torpederos, lanchas, patrulleras y fragatas.
Control operativo del golfo Pérsico.
Estrecho de Ormuz
ARABIA SAUDÍ
Golfo Pérsico
FUERZA QUDS
Unidad de operaciones especiales, enfocada en guerra no convencional, extraterritorial y entrenamiento de grupos terroristas.
ARABIA SAUDÍ
CUERPO ANSAR-UL-MAHDI
Protección de los altos funcionarios del gobierno y el parlamento (excluyendo al Líder Supremo)
BASIJ
Fuerza paramilitar
Fuerza auxiliar
Imposición de la ley, organización de ceremonias religiosas, patrullaje de la moral y represión a reuniones disidentes.
Gholamreza Soleimani
Comandante de la Fuerza de Movilización de la Resistencia (Basij) (2019-)
milicianos
Sepâh-e Pâsdârân-e Enghelâb-e Eslâmi (persa)
Cuerpo de la Guardia Revolucionaria Islámica (IRGC)
Bandera oficial del Cuerpo de la Guardia Revolucionaria Islámica (IRGC)
“Prepárate contra ellos con todas las fuerzas que puedas”
Esmail Ghaani
Mayor general de los Cuerpos de la Guardia Revolucionaria Islámica y comandante de la Fuerza Quds
Tropas terrestres
Fuerza aeroespacial
Cuerpo Ansar-ul-Mahdi
Protección de funcionarios
FUERZA QUDS
operaciones especiales
BASIJ
Fuerza paramilitar
Tropas terrestres
Mohammad Pakpour
Responsable de la seguridad interna y fronteriza y la aplicación de la ley islámica.
20 divisiones de infantería y brigadas aerotransportadas
Fuerza aeroespacial
Amir Ali Hajizadeh
Control del programa nuclear y programa de misiles iraní
Armada
Alireza Tangsiri
Una poderosa flota, compuesta por cien torpederos, lanchas, patrulleras y fragatas.
Control operativo del golfo Pérsico.
Estrecho de Ormuz
ARABIA SAUDÍ
Golfo Pérsico
FUERZA QUDS
Unidad de operaciones especiales, enfocada en guerra no convencional, extraterritorial y entrenamiento de grupos terroristas.
ARABIA SAUDÍ
CUERPO ANSAR-UL-MAHDI
Protección de los altos funcionarios del gobierno y el parlamento (excluyendo al Líder Supremo)
BASIJ
Fuerza paramilitar
Fuerza auxiliar
Imposición de la ley, organización de ceremonias religiosas, patrullaje de la moral y represión a reuniones disidentes.
Gholamreza Soleimani
Comandante de la Fuerza de Movilización de la Resistencia (Basij) (2019-)
milicianos
Sepâh-e Pâsdârân-e Enghelâb-e Eslâmi (persa)
Cuerpo de la Guardia Revolucionaria Islámica (IRGC)
“Prepárate contra ellos con todas las fuerzas que puedas”
Esmail Ghaani
Mayor general de los Cuerpos de la Guardia Revolucionaria Islámica y comandante de la Fuerza Quds
Tropas terrestres
Fuerza aeroespacial
Cuerpo Ansar-ul-Mahdi
Protección de funcionarios
FUERZA QUDS
operaciones especiales
BASIJ
Fuerza paramilitar
Tropas terrestres
Mohammad Pakpour
Fuerza aeroespacial
Amir Ali Hajizadeh
Armada
Alireza Tangsiri
Una poderosa flota, compuesta por cien torpederos, lanchas, patrulleras y fragatas.
Responsable de la seguridad interna y fronteriza y la aplicación de la ley islámica.
Control del programa nuclear y programa de misiles iraní
Control operativo del golfo Pérsico.
20 divisiones de infantería y brigadas aerotransportadas
Estrecho de Ormuz
ARABIA SAUDÍ
Golfo Pérsico
CUERPO ANSAR-UL-MAHDI
Protección de los altos funcionarios del gobierno y el parlamento (excluyendo al Líder Supremo)
FUERZA QUDS
Unidad de operaciones especiales, enfocada en guerra no convencional, extraterritorial y entrenamiento de grupos terroristas.
BASIJ
Fuerza paramilitar
Fuerza auxiliar
Imposición de la ley, organización de ceremonias religiosas, patrullaje de la moral y represión a reuniones disidentes.
Gholamreza Soleimani
Comandante de la Fuerza de Movilización de la Resistencia (Basij) (2019-)
ARABIA SAUDÍ
milicianos
Bandera oficial del Cuerpo de la Guardia Revolucionaria Islámica (IRGC)
Sepâh-e Pâsdârân-e Enghelâb-e Eslâmi (persa)
Cuerpo de la Guardia Revolucionaria Islámica (IRGC)
“Prepárate contra ellos con todas las fuerzas que puedas”
ALTO MANDO
Esmail Ghaani
Mayor general de los Cuerpos de la Guardia Revolucionaria Islámica y comandante de la Fuerza Quds
Comandante de la Fuerza Quds de los CGRI (2020-2025)
Cuerpo Ansar-ul-Mahdi, Protección de los altos funcionarios del gobierno y el parlamento (excluyendo al Líder Supremo)
BASIJ
Fuerza paramilitar
FUERZA QUDS
Tropas terrestres
Mohammad Pakpour
Fuerza aeroespacial
Amir Ali Hajizadeh
Armada
Alireza Tangsiri
Gholamreza Soleimani
Comandante de la Fuerza de Movilización de la Resistencia (Basij) (2019-)
Unidad de operaciones especiales, enfocada en guerra no convencional, extraterritorial y entrenamiento de grupos terroristas.
Responsable de la seguridad interna y fronteriza y la aplicación de la ley islámica.
Control del programa nuclear y programa de misiles iraní
Una poderosa flota, compuesta por cien torpederos, lanchas, patrulleras y fragatas.
milicianos
20 divisiones de infantería y brigadas aerotransportadas
Control operativo del golfo Pérsico.
Fuerza auxiliar
Imposición de la ley, organización de ceremonias religiosas, patrullaje de la moral y represión a reuniones disidentes.
ARABIA SAUDÍ
Estrecho de Ormuz
ARABIA SAUDÍ
Golfo Pérsico
-
Influencia exterior
Dentro de la Guardia Revolucionaria existe la denominada ‘Fuerza Quds’, una división con alrededor de 10.000 miembros. Es una especie grupo dedicado a llevar las guerras de Irán contra el mundo occidental a otros países. Su especialidad en asesinatos, sabotajes y tácticas de guerrilleros ha hecho que países como Estados Unidos consideren que la ‘Fuerza Quds’ es un grupo terrorista. Después de todo, esta unidad iraní sí que apoya a otros grupos terroristas implantados en países próximos. La actuación de Hezbolá, en el Líbano; Hamás, en Palestina, los grupos sirios que se enfrentaron a los rebeldes, o los hutíes, en Yemen, entre otros, eran algunos de los destinatarios de la ayuda de la ‘Fuerza Quds’, tanto en armas como en entrenamiento. Al Qaeda en Afganistán también ha tenido apoyo de esta rama de los Pasarán.
En su historia tiene decenas de episodios vinculados a terrorismo internacional. Uno de los más significativos es el atentado perpetrado en 1984 contra una institución judía en Buenos Aires, la AMIA, en el que fallecieron 85 personas. Un fiscal acusó a las Fuerzas Quds de estar detrás de este atentado, junto con miembros de Hizbulá. El fiscal, Alberto Nisman, fue asesinado en 2015 de un disparo en la cabeza, en un caso que no se ha resuelto.
En 2020, un ataque selectivo de EE UU mató a su comandante en jefe, Qasem Soleimani, y desde entonces el régimen promete vengarse de forma repetida. Dos años más tarde, Israel acabó en Damasco con Mohamed Reza Zahedi y Mohamed Hadi Haji-Rahimi, dos cargos de máximo nivel en la organización.
Desfile de las Fuerzas Quds
-
Sistema militar
Poca broma con un ejército situado en la posición número catorce del ránking mundial, por encima de Israel (17), Francia, España o Alemania. Irán tiene un sistema militar complejo, más enrevesado que el de los países de su entorno, compuesto por lo que podría interpretarse como redes redundantes que le permiten combinar un ejército al uso con un aparato disciplinario para mantener el orden y un cuerpo militarizado de protección de sus líderes políticos y religiosos. Esta arquitectura basada en tres pilares le ha permitido al régimen de los ayatolás mantenerse en el poder contra viento y marea hasta ahora, que se ve cercado por manifestaciones populares sin parangón en la historia del país.
Ha desarrollado, además, una importante industria militar, en una paradoja constante con las sanciones internacionales desde hace dos décadas que prohíben importar material potencialmente de uso bélico. El país se vio precisamente forzado a desarrollar su propia industria después de la Revolución Islámica por la limitación a los arsenales impuesta por las sanciones. La mayor parte de su equipamiento actual es de producción nacional e incluso se permite exportar material, con China y Rusia como sus principales clientes. Moscú ha adquirido ingentes cantidades de sus drones Sahehd, hasta que ha aprendido a replicarlos. El régimen trabaja además en un imponente programa de desarrollo de misiles balísticos que preocupa sobremanera a Israel.
-
Ejército regular (Artesh)
Organizado en cinco grandes cuerpos regionales, lo componen cuatro divisiones de infantería, otras tantas acorazadas, una brigada aerotransportada y una brigada de operaciones especiales. Su esquema es clásico, con las ramas de tierra, naval y aeroespacial. Esta es la más débil de todas. Irán posee unos 550 aviones de combate y 129 helicópteros, la mayoría adquiridos Rusia y China. También dispone de un pequeño grupo de cazas F-5 y cazabombarderos F-4 de origen estadounidense comprados durante el mandato del Sha. Son muy antiguos y el régimen trata de mantenerlos en activo con desigual fortuna equipándose con recambios chinos y rusos ante el bloqueo impuesto por las sanciones a las piezas originales.
Un caza ruso Sukhoi Su-35S comprado recientemente.
El ejército es una de las fuerzas más potentes de Oriente Medio, pero los clérigos lo han relegado tradicionalmente a una especie de hermano menor de los Guardianes de la Revolución, políticamente hablando. Así ha sido porque los ayatolás han buscado siempre que este último cuerpo, más asimilado al carácter de una milicia e indefinido desde el punto de vista de la seguridad exterior, consolide su legitimidad militar y no solo política. No obstante, la Constitución iraní establece que las dos fuerzas trabajen en una «fraternal cooperación».
Irán no es una fortaleza en el combate aéreo, pero sí es propietario de uno de los mejores sistemas del mundo en defensa aérea; por lo menos hasta que resultó diezmado en la reciente Guerra de los 12 días, cuando Israel y EEUU atacaron su programa nuclear. Aun así, las agencias de Inteligencia creen que su capacidad de recuperación es muy elevada y que la defensa aérea sigue siendo un punto fuerte.
La Fuerza Aeroespacial del Cuerpo de la Guardia Revolucionaria Islámica lanza los misiles balísticos en la operación contra Israel de 2024.
El territorio cuenta con el poderoso Rezonars, un radar transhorizonte ruso, además de los sistemas pasivos Avtobaza y una red muy extensa y nutrida de radares tradicionales. La combinación de todos estos aparatos le capacita, según los expertos, incluso para detectar aviones furtivos. Además, dispone de la potente defensa antiaérea S-300.
Los Guardianes de la Revolución también están fuertemente armados. Su arsenal cuenta con unos 3.000 misiles de corto y medio alcance, y su industria trabaja en el desarrollo de nuevos cohetes balísticos. Muchos de los almacenes se encuentran bajo tierra, en las llamadas ‘ciudades de misiles’, que no solo sirven para la logística, sino como salas de coordinación de operaciones militares. Más allá de los misiles, Irán es una potencia en la fabricación de drones militares.
-
La Armada, guardiana del petróleo
A finales del siglo XIX, Irán compró sus dos primeros cañoneros a Alemania. Sin embargo, fue la dinastía de los Pahlevi la que se encargó de formar una auténtica Armada. El IRIN, la denominación técnica en el ejército regular, se nutre de 18.000 efectivos, una treintena de submarinos (la mayoría costeros) y decenas de buques de superficie.
Por su parte, la fuerza naval de la Guardia Revolucionaria (IRGCN) aporta, por su lado, 20.000 infantes y una poderosa flota, compuesta por cien torpederos, lanchas, patrulleras y fragatas. Su labor está muy focalizada en la custodia del Golfo Pérsico y el Estrecho de Ormuz para proteger el tráfico de petroleros con salida o destino a Irán y controlar un paso marítimo clave en el comercio internacional. En caso de conflicto grave, la Guardia Revolucionaria naval puede activar su temido grupo de operaciones especiales anfibias y tácticas Takavar.
Miembros del Basij desfilan el día de las Fuerzas Armadas en Teherán
REUTERS
-
Unidad Basij
Las milicias paramilitares rinden plena lealtad a Ali Jamenei, que tiene en ellas uno de sus principales brazos en una salvaje represión contra los manifestantes contrarios al régimen. Las fundó el ayatolá Jomeini en 1979. Depende de la Guardia Revolucionaria y sus hombres y mujeres son reclutados en distintos ámbitos, desde las fábricas a las universidades. Es una fuerza auxiliar que el Gobierno de los ayatolás creó para mantener el orden público y a menudo ha sido acusada de emplear una violencia extrema. Sus miembros pueden intervenir de uniforme o no, lo que facilita su infiltración en las protestas callejeras o estudiantiles para reventarlas desde dentro. Muchos expertos militares los consideran sicarios del régimen.
-
Escolta personal del Líder Supremo
La teoría que circula entre las agencias occidentales y la Inteligencia israelí es que el Líder Supremo, Ali Jamenei, cuenta con un aparato de escolta secreto que opera al margen de la Policía, el Ejército y la Guardia Revolucionaria, aunque con nexos con este último cuerpo. Los expertos hebreos advirtieron de esta circunstancia en 2025, en plena campaña de amenazas israelí, cuando el ayatolá desapareció de la escena pública y fue trasladado a un lugar desconocido y seguro. Los integrantes de esta unidad habrían salido de la Guardia Revolucionaria, pero sin que esta los controle. Se trata de una escolta de máxima seguridad creada para evitar traiciones y posibles infiltraciones del Mossad, formada por guardaespaldas muy entrenados y leales hasta el extremo del régimen.
Límite de sesiones alcanzadas
El acceso al contenido Premium está abierto por cortesía del establecimiento donde te encuentras, pero ahora mismo hay demasiados usuarios conectados a las vez.
Por favor, inténtalo pasados unos minutos.
Sesión cerrada
Al iniciar sesión desde un dispositivo distinto, por seguridad, se cerró la última sesión en este.
Para continuar disfrutando de su suscripción digital, inicie sesión en este dispositivo.
Este contenido es exclusivo para suscriptores
¿Tienes una suscripción? Inicia sesión

Soy William Abrego, me uní como ejecutivo de SEO y me abrí camino hasta el puesto de Gerente Asociado de Marketing Digital en 5 años en Prudour Pvt. Ltd. Tengo un conocimiento profundo de SEO en la página y fuera de la página, así como herramientas de marketing de contenido y diferentes estrategias de SEO para promover informes de investigación de mercado y monitorear el tráfico del sitio web, los resultados de búsqueda y el desarrollo de estrategias. Creo que soy el candidato adecuado para este perfil ya que tengo las habilidades y experiencia requeridas.
Enlace de origen : Así es la sanguinaria Guardia Revolucionaria encargada de eliminar las protestas contra los ayatolás